@@Gunnar Bittersmann
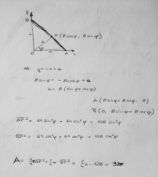
Drei Viertelkreise. Wie groß ist die farbig markierte Fläche?
Quelle: https://twitter.com/Cshearer41/status/1420670368252039168
Lösung: 32π
einfach(st?)e Herleitung: https://twitter.com/MathyMahdi/status/1420871591253069830
Ich muss gestehen, dass ich’s mir auch komplizierter gemacht habe:
Aber nicht so kompliziert wie who shall remain nameless. 😜
😷 LLAP
--
„Man darf die Klimakrise doch echt jetzt nicht überbewerten.
Es ist gar nicht klar, ob 2022 wieder Extremregen und Hochwasser bringt oder ob es ein ganz gewöhnliches Dürrejahr wird.“
— @HalleVerkehrt
„Man darf die Klimakrise doch echt jetzt nicht überbewerten.
Es ist gar nicht klar, ob 2022 wieder Extremregen und Hochwasser bringt oder ob es ein ganz gewöhnliches Dürrejahr wird.“
— @HalleVerkehrt

