@@JürgenB
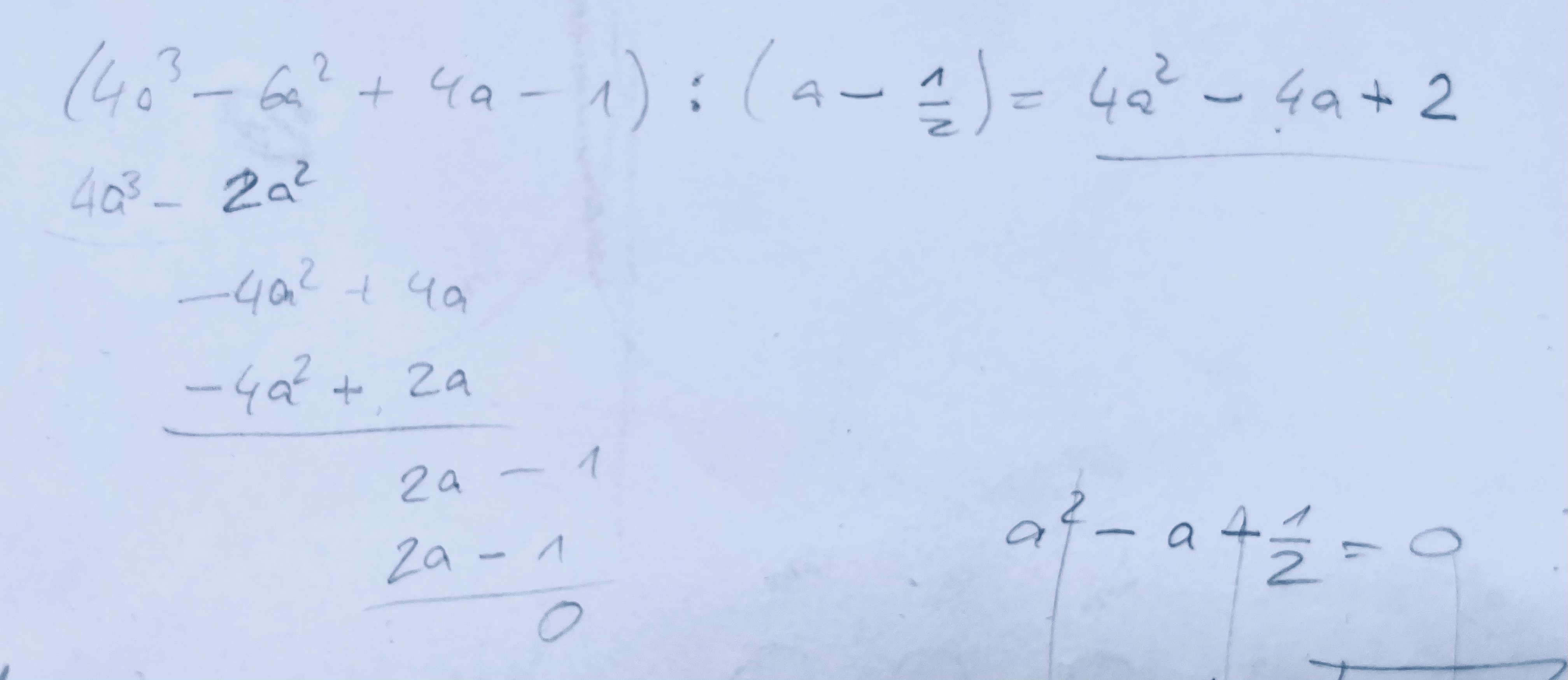
aber es ist schwer, bis zum Schluss bleiben zu dürfen. Ich habe jetzt schon vier A4 Seiten mit Formeln gefüllt und mich u.A. in Polynomdivision geübt. Aber mein Egebnis ist "krumm" und besteht die Prüfung nicht, aber ich finde den Fehler einfach nicht. 😟
Hm.
Und dann habe ich auch noch die Vermutung, das die Lösung ein Dreizeiler ist.
Na wenigstens die Vermutung stimmte. 😜
Kwakoni Yiquan
--
Ad astra per aspera
Ad astra per aspera
