@@Gunnar Bittersmann
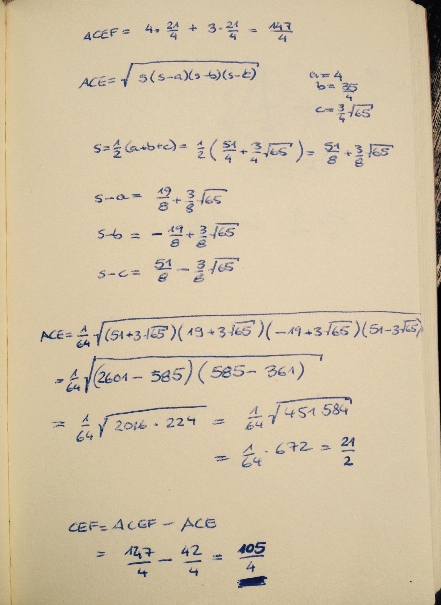
Meine Lösung ging über Pythogoras und Heron und Wurzeln, die sich dann wegen (a + b)(a − b) = a² − b² wieder auflösten. Wenn ich
mich dafür nicht so schämen würdenicht gerade unterwegs wäre, würde ich’s euch ja zeigen.
Bin wieder zu Hause, also bitteschön:
Da hatte ich schon ∠EFC als gleich groß wie die anderen Peripheriewinkel erkannt. Wie ich da übersehen konnte, dass △CFD ebenfalls so ein rechtwinkliges mit Katheten 3 : 4 ist …?
LLAP 🖖
--
„Wer durch Wissen und Erfahrung der Klügere ist, der sollte nicht nachgeben. Und nicht aufgeben.“ —Kurt Weidemann
„Wer durch Wissen und Erfahrung der Klügere ist, der sollte nicht nachgeben. Und nicht aufgeben.“ —Kurt Weidemann

